Loading...
Skip to Content

Appendix 1: The environmental capacity of streets

Residential access streets: 3–18

 Novermber 1963    The Buchanan Report    Appendix 1  
Contents  Appendix 1  Residential access streets

Residential access streets

3

Traffic in residential streets affects the environment in various ways— through noise, fumes, or vibration, for example—but perhaps the most crucial aspect is the danger that arises for people who wish to cross the street. Statistics show that 80% of all fatal and serious accidents to pedestrians are connected with the act of crossing the road. The possibility we have explored is that the environmental capacity of a street could be assessed, for practical purposes, by the ease with which the street can be crossed by pedestrians, and that if this crucial condition could be satisfied, then it is likely that needs relating to noise and fumes would also be satisfied.

4

We are considering, of course, the kind of street which lies within an environmental area, and where, in consequence, the general premise must be that the pedestrian has a large measure of freedom, including the freedom to cross the road whenever and wherever he pleases. This amounts to a further definition of a residential access road, for if the canalised or controlled crossing of pedestrians is required, then the presumption is that the road is no longer strictly an access road.

5

In effect this approach amounts to defining the acceptable level of risk for the act of crossing the road. Conditions vary so enormously that it is not possible, by studying accident statistics, to say simply that a street of this or that width, carrying this or that amount of traffic, is safe or unsafe. But there is the possibility that the level of risk might be measured by the delay to which a pedestrian is subjected when he desires to cross the road. A person only delays making his crossing if, in his judgement, he might be hit by an approaching vehicle. It is a reasonable assumption that the longer he is delayed the more he is likely to 'take chances' and so reduce his margin of safety.

6

The delay the pedestrian suffers is occasioned of course by his having to wait for a gap in the traffic. The unimpeded movement of vehicles past a point corresponds closely to a random series of events, and the occurrence of suitable gaps can be established by probability theory. The average delay for pedestrians (i.e. for those who are delayed as well as those who are not) will depend first upon the volume of traffic (the greater the volume the greater the delay), and secondly upon the width of the road (the wider the road the longer it takes to cross and hence a longer gap is required between successive vehicles). These variables can be expressed graphically. The right hand side of Fig. 1 shows the relationship between traffic flows on carriage-ways of various widths and the average delays to all crossing pedestrians. The left hand side of the diagram shows the relationship between the average delay to all pedestrians and the proportion of the total pedestrians who actually do experience delay.

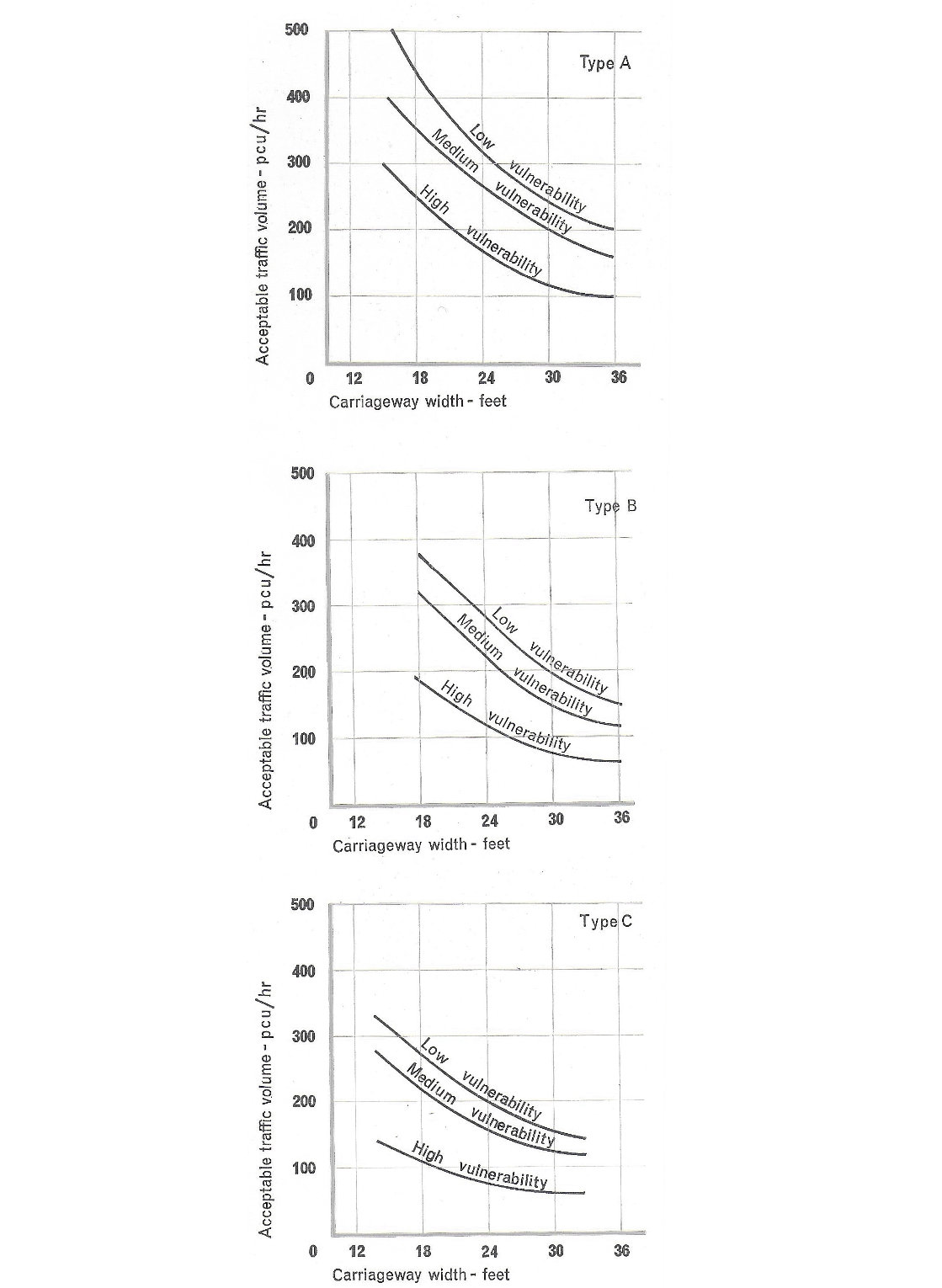
7

It will be noted from the left hand side of this diagram that when 50% of pedestrians are liable to experience delay the average delay to all is about two seconds. The corresponding average delay to those who are actually delayed would in this case amount to 4 seconds. It is generally considered that, at about this point, the pedestrian’s freedom to cross the road anywhere he pleases in accordance with his own judgement needs to be curtailed, and that canalisation of pedestrians onto some kind of controlled crossing is required. We think that an average delay to all crossing pedestrians of two seconds may be taken as a very rough guide to the border-line between acceptable and unacceptable conditions. Any greater delay would imply that most people (more than 50%) would have to adapt their movements, to give way to motor vehicles—a situation clearly not compatible with the idea of an environmental area. It will be seen that in relation to a 22 ft. carriageway the borderline traffic flow (or, in other words, the environmental capacity) is about 250 p.c.u. per hour. It will also be seen that in relation to, say, a 30 ft. carriageway the environmental capacity is about 130 p.c.u. per hour, and thus the unexpected fact emerges that the narrower carriageway will enable more traffic to pass for the same level of risk to pedestrians.

8

This is, at best, a very approximate definition of the environmental capacity. In practice much would depend upon the kind of pedestrians involved in the act of crossing the road. Thus young children and old people are more vulnerable than others, largely through sheer heedlessness, and if these constituted a large part of the pedestrian movement, then the borderline would need to be adjusted to a lower volume of traffic. A refinement of the definition of environmental capacity may therefore be obtained by classifying streets according to the vulnerability of the pedestrians who cross at any specified period of the day. For our investigation we defined three categories: (i) streets with over 50% of particularly vulnerable pedestrians (old and young, mothers with prams, etc.), (ii) streets with 20% to 50% of vulnerable pedestrians, and (iii) streets with less than 20%.

9

The definition of environmental capacity would also depend in practice upon the physical conditions and layout of the street concerned. Some streets would offer a better level of protection than others by reason perhaps of better visibility for drivers, fewer parked cars, fewer side entrances, better continuity of footpaths, safer pedestrian access to dwellings, etc. For this purpose streets can be classified into three groups according to whether they offer high, medium or low levels of protection. In the Table which appears later in this Appendix we refer to these as Types A, B and C respectively.

10

Although we have so far confined this analysis strictly to the pedestrian who seeks to cross the road, in practice the definition of environmental capacity would also be bound to depend on the general level of pedestrian activity in the street, especially on the numbers of children.

11

Thus there are three main refinements to be applied to the crude definition of environmental capacity—the vulnerability of crossing pedestrians, the physical conditions, and the general level of pedestrian activity. In order to explore the practical effect of these variables we studied some 50 actual examples of residential streets with traffic flows varying from 10 to 1500 p.c.u. per hour. We were able to distinguish immediately the cases where conditions were obviously acceptable or unacceptable (the latter generally being cases where noise or severance by traffic were so great that no consideration of other factors was needed) but we were left with a residue of marginal cases. In order to sort out these marginal cases we applied a ‘scoring’ system somewhat similar to that employed in the cost-benefit analysis described in Appendix 2. We then calculated the theoretical proportion of crossing pedestrians who would be delayed by the traffic in each particular case, and classified each street into the three classes of ’vulnerability’ (para. 8 above) and into the three classes of ‘level of protection’ (para. 9 above). Then, for the nine possible combinations of ‘vulnerability’ and ‘level of protection’ we reached a judgement as to the proportion of pedestrians for whom delay in crossing appeared to be acceptable. The results of this are shown in Table 1.

Table 1: Maximum percentage of pedestrians for whom delay is acceptable in crossing various types of residential access streets.

Level of Vulnerability Level of protection
Type A (High) Type B (Medium) Type C (Low)
Low 70 60 50
Medium 60 50 40
High 40 30 20
12

With the aid of this table and the relationships shown in Figure 1, we were then able to draw a further series of curves (Figure 2) which enable the environmental capacity to be determined for any width of carriageway and for any levels of ‘vulnerability’ and ‘protection’.

Fig. 1 These two graphs show the relationship between traffic volume, average delay to all pedestrians and the prop it as pedestrians delayed. The dotted
Fig. 1 These two graphs show the relationship between traffic volume, average delay to all pedestrians and the prop it as pedestrians delayed. The dotted
13

To illustrate the practical use of graphs of this kind we may examine the actual case of a street in north London. The street in question has a carriageway 30 ft. wide, with narrow pavements. The lateral development comprises medium density (100 persons per acre) 3-storey terrace houses in multi-household occupation. In addition there are some local shops, a public house, a doctor's surgery and a group of industrial premises at one end of the street. The houses have small fore-courts (4-ft. deep), mostly unfenced, so that there is direct access onto the narrow footways. There are no private gardens, nor are there any parks or children's play areas close at hand. In the morning, in term time, the street is traversed by many children going to school. In the evening there are many children at play. At all times, but especially in the morning and evening there is a great deal of general pedestrian activity, and much random crossing of the road. The street can, without difficulty, be classified as having a high level of vulnerability and a low level of protection (Type C.).

14

It happens that this street forms a link between two busy main routes and it is much traversed by drivers who seek to avoid the congested conditions on those roads. Much of this through traffic consists of persons driving to or from work in the inner areas of London, and the incidence of this traffic coincides with the peak of pedestrian activity. There is also the normal traffic of the street, and the traffic generated by the industrial uses. At the evening peak on a normal weekday the traffic is of the order of 500 p.c.u. per hour, 80% of which is through traffic and 11% heavy traffic. The speed is in the range of 20-25 m.p.h.

15

From Figure 2 it can be seen that, for a street of high vulnerability and low protection, the environmental capacity is little more than 50 p.c.u. per hour. This can be compared with the present peak hour flow of 500 p.c.u. We think, for all the crudeness of the method, that this example illustrates the great advantage of making an attempt to quantify these matters and to introduce performance standards. Virtually no yardstick has existed previously, but as a result of the assessments outlined here we feel some confidence in saying that the street in question is carrying ten times the amount of traffic that it should carry at the peak hour if tolerable conditions are to be secured for the people who live in it.

Fig. 2 these graphs show how the acceptable traffic volume varies with carriageway width and degree of vulnerability for layout types A, B and C, described in paragraph 11.
Fig. 2 these graphs show how the acceptable traffic volume varies with carriageway width and degree of vulnerability for layout types A, B and C, described in paragraph 11.
16

If the through traffic could be removed entirely from the street, the peak hour flow would be about 100 p.c.u. which is still higher than the environmental capacity. But it can be seen from Figure 2 that if the carriageway with were reduced to 18 ft. the acceptable flow could rise to 120 p.c.u. per hour without affecting the delay to pedestrians trying to cross. The wide pavements that would result would greatly improve the environment of the street, though doubtless in practice some space would have to be allocated for grouped lay-bys for parking.

17

Another method of increasing the environmental capacity would be by reducing the vulnerability level of the street. The main way in which this could be done, short of redevelopment, would be by providing off-street play areas for children. We think this would form an important component of the technique of environmental management outlined previously in the Leeds study.

18

We mention finally one clear impression we obtained from the cases we studied—that in residential access streets vehicle speeds in excess of 20 m.p.h. were incompatible with the needs of pedestrians and the environment generally.